武芯烧录器支持NXP MC9S08PL16S系列芯片编程烧录
发布时间:2026-04-13 16:59:30
MC9S08PL16S系列是恩智浦(NXP)的8位微控制器,主打严苛环境的应用场景,比如汽车电子和水泵控制这类需要高可靠性的领域。它在内存上提供了两种闪存8KB或16KB配置选择,,搭配1KB的SRAM存储资源。这款芯片在设计上也很贴心,集成了丰富的外设,包括10位精度的ADC、模拟比较器,还有灵活易用的定时器模块。这些功能大幅简化设计流程,降低整体系统成本。
别看S08P系列结构简单,性能可一点不含糊,还特别强化了抗干扰能力(EET/ESD性能)。它最多能扩展出18个通用IO接口,且保持引脚兼容性,而且和现有的S08P 系列产品是兼容的。如果您已经在用其他S08内核产品,移植起来会特别省心,因为IP核心和开发工具都是通用的。再说说它的安全配置,完全符合家电安全标准IEC60730的要求。总的来说,这款MCU在产品性能方面,那是又耐用又可靠!
主要特性:
提供16KB和8KB闪存选项
1KB SRAM
20引脚带滤波功能的最多18路通用IO
与S08P系列引脚兼容
高达10位分辨率的线性逐次逼近算法
最多12通道单端外部模拟输入
10位和8位模式,深达八层的结果FIFO
单次或连续转换(单次转换后自动返回到空闲状态)
6通道+ 2通道FlexTimer + 1个MTIM
实时计数器(RTC)
1个SCI (UART)
1个模拟比较器
增强型看门狗和可编程CRC
高精度内部时钟
环境温度:-40至85C°
支持2.7 V至5.5 V的电源范围
封装:20引脚TSSOP、16引脚TSSOP 和80 引脚SOIC

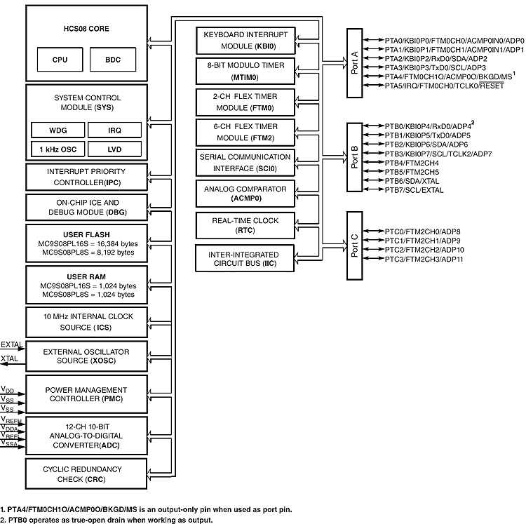
内部款图
武芯科技作为通用型芯片烧录器制造商,专注于IC烧录、测试领域。在持续优化更新烧录软件的同时,也在积极扩充和兼容各大厂商的芯片型号的烧录。ET9800烧录器支持一拖八烧录,同时提供联机、脱机等工作模式,可全方位满足NXP(恩智浦)MC9S08PL16S系列芯片的裸片离线烧录与在板烧录的量产需求。

ET9800是一款支持联机、脱机的量产型高速烧录器。采用高性能ARM+FPGA的硬件架构设计,编程带宽高达1.6Gb/s;内置128GB eMMC母头模块,能高效提升eMMC母片拷贝的量产效率;配备4.3英寸LCD触摸屏,优化脱机操作的交互体验;支持“一拖八”并行烧录,可实现复杂多样的烧录需求;且设备集成多种丰富接口,涵盖100/1000M以太网、SD卡、USB2.0 Device、RS-232串口、电源开关及接地端子等,灵活适配多元应用场景。同时提供上位机与下位机软件,支持自动化场景定制,适配智能化产线需求;支持各大厂商各种封装的MCU、eMMC、SPI、Nor/Nand flash、Parallel Nor/Nand flash、EEPROM及DSP等类型芯片,烧写稳定、高效。为客户提供创新的多场景芯片(IC)烧录解决方案。